Poster Summary ERP modernization BiLSTM-Attention Cloud-native framing

AI and Cloud Computing in Business Systems

Poster-style summary of the published paper: A Hybrid Model for Enhancing Enterprise Resource Planning.

Research Aim

Use AI and cloud computing together to improve ERP decision support, interpret module relationships, and support scalable enterprise operations.

Core Metrics
91.2%

Accuracy with the proposed BiLSTM-Attention model, alongside 89.5% precision, 90.8% recall, and 90.1% F1-score.

Top Attention Insight
Module_5

Highest reported attention score: 0.17, suggesting the most influential role in ERP dependency prediction.

Modeling Pipeline
Workflow poster panel for methodology.
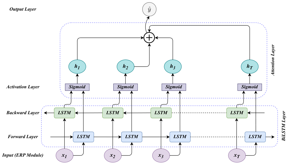
Architecture
Architecture poster panel for BiLSTM-Attention.
What the model adds
  • Bidirectional sequence context for module dependency learning.
  • Attention-based interpretability for module influence analysis.
  • Cloud ERP integration pathway for autoscaling, monitoring, and risk-aware orchestration.
Visual evidence
Heatmap poster panel of model metrics.
Module attention distribution
Pie chart poster panel showing attention share across modules.
Precision vs recall
Jointplot poster panel of precision and recall.

Citation reminder

Use the citation files in the repository root and `citations/` directory when referencing the paper or its supporting repository artifact. Author profiles are collected on the main portal.