Poster View

SIF-CCA conference poster board

This page compresses the research into a poster-style layout for fast review. It is public and shareable, while the full manuscript and source files remain encrypted.

Hybrid AI detection AWS + Azure + GCP Zero-trust control plane
Combined guide

Towards a Serverless Intelligent Firewall: Integrating Cross-Cloud Adaptation, AI-Driven Security, and Zero-Trust Architectures

Md Anisur Rahman Chowdhury and Kefei Wang | Gannon University, USA | SmartCloud 2026 submission artifact

Problem and motivation

Traditional perimeter controls struggle with identity sprawl, short-lived workloads, and fragmented policy enforcement in multi-cloud serverless systems.

The research targets a missing capability: a serverless-native, AI-driven, end-to-end security architecture that can act across providers without losing zero-trust discipline.

Proposed architecture

SIF-CCA combines an XGBoost plus BiGRU detection pipeline with cloud-native event-driven orchestration and a unified zero-trust control plane.

Architecture diagram

Key reported metrics

  • 98.00% accuracy, precision, recall, and F1-score.
  • 0.990 ROC-AUC against the evaluated baselines.
  • 135 ms average cross-cloud response latency.
  • 99.6% policy consistency across providers.

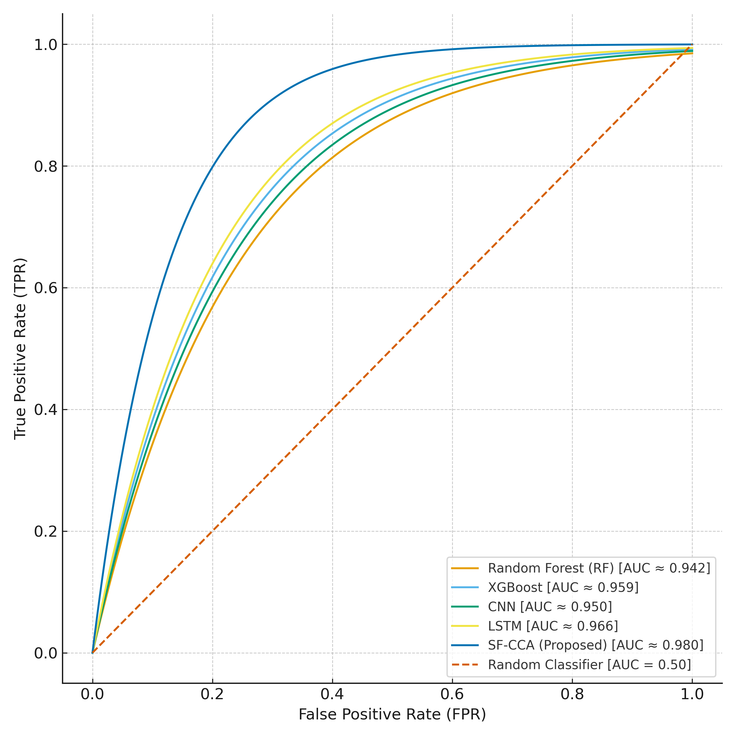
Evidence from evaluation

Confusion matrix

Low off-diagonal noise indicates strong class separation across the paper’s target labels.

Baseline comparison

ROC curve

The proposed model keeps the strongest ROC envelope compared with RF, XGBoost, CNN, and LSTM.